
PRODUCT
CONTACT US
If you need to consult products please call the hotline:
SALES EMAIL
sales@nccchina.cn
SERVICE LINK
400 809 5700
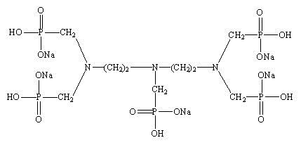
DTPMP•Na7 is a scale inhibitor, for barium sulphate in particular and a chelating agent.DTPMP•Na7 can be used as stabilizer for peroxide bleaching, detergent auxiliaries, cool water, oilfield water, etc.